冷诱导RNA结合蛋白在大鼠低体温性急性肺损伤中的表达变化

Expression of cold-induced RNA-binding protein in hypothermic acute lung injury model in rats

  • 摘要:
      背景  海上遇难者落水后常死于海水长时间浸泡后的低体温及相关并发症,肺是低体温损伤的重要器官之一,但目前针对低体温造成急性肺损伤(acute lung injury,ALI)的研究相对匮乏。
      目的  探讨冷诱导RNA结合蛋白(cold-inducible RNA-binding protein,CIRP)在低体温性ALI大鼠模型中的变化及其可能的作用机制。
      方法  将40只雄性成年SD大鼠随机分为0 h组(0 h,8只)和实验组(32只)。实验组分别用低温海水浸泡12 h、16 h、20 h、24 h(每组8只),构建低体温性ALI动物模型。ELISA检测白细胞介素-6(interleukin-6,IL-6)、IL-1β、细胞外CIRP的含量,对肺组织进行HE染色、TUNEL染色和CIRP免疫组织化学染色,qRT-PCR检测CIRP mRNA的表达。
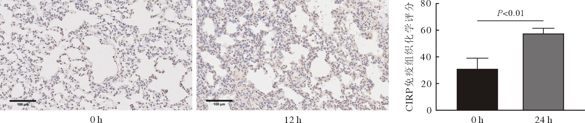
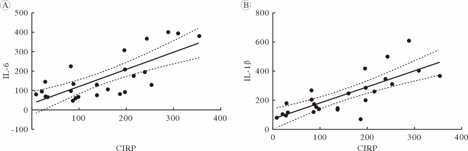
      结果  与0 h组相比,实验组出现不同程度肺损伤,病理切片可见肺泡壁增厚或结构破坏,肺泡腔内出血,伴中性粒细胞和淋巴细胞浸润等; 16 h、20 h、24 h实验组血清中IL-6的表达显著增加,20 h、24 h实验组血清中IL-1β表达显著增加,差异均有统计学意义(P<0.01);各实验组大鼠血清中CIRP表达增加均有统计学差异(12 h、16 h、20 h组,P<0.05;24 h组,P<0.01)。TUNEL结果显示,各实验组的大鼠肺组织出现不同程度的细胞凋亡现象(P<0.01);通过炎症因子的表达水平、肺组织病理改变以及细胞凋亡情况选择低温海水浸泡24 h为最佳构建模型时间,免疫组织化学染色和qRT-PCR观察到24 h组肺组织内CIRP的表达增加。
      结论  肺组织和外周血清的CIRP在低体温性ALI大鼠模型中随时间延长而表达增高,提示其可能与低体温致ALI相关,同时与炎症因子IL-1β、IL-6水平呈现一致性趋势变化,因此推测CIRP可能通过促进炎症因子释放发挥作用,本研究初步证实了CIRP在肺组织区域和整体与低体温ALI的相关性。

     

    Abstract:
      Background  Marine casualties often die from hypothermia and related complications after prolonged immersion in seawater, and lungs are one of the important organs vulnerable to hypothermia injury, but there is a relative lack of researches on acute lung injury (ALI) caused by hypothermia.
      Objective  To investigate the changes of cold-induced RNA-binding protein (CIRP) in rats with hypothermic ALI and its possible mechanism.
      Methods  An animal model of hypothermic ALI was constructed, and 40 male adult SD rats were randomly divided into control group (0 h, n=8) and experimental group (n=32). The experimental groups were immersed in low-temperature seawater for 12 h, 16 h, 20 h, and 24 h (n=8). The contents of IL-6, IL-1β and CIRP were detected by ELISA. HE staining, TUNEL staining and CIRP immunohistochemical staining were performed on lung tissue. The expression of CIRP mRNA was detected by qRTPCR.
      Results  Compared with the control group, the experimental groups had different degrees of lung injury, and pathological sections showed thickening or structural damage of the alveolar wall, hemorrhage in the alveolar cavity, and infiltration of neutrophils and lymphocytes. Compared with the control group, the expression of IL-6 in the serum of the 16 h, 20 h and 24 h experimental groups increased, and IL-1β in the serum of the 20 h and 24 h experimental groups also increased, the differences were statistically significant (all P<0.01). Compared with the control group, the expression of CIRP in serum of rats in each experimental group increased significantly (P<0.05 in 12 h, 16 h, 20 h groups, P<0.01 in 24 h group); TUNEL results showed that there were different degrees of apoptosis in the lung tissue of rats in each experimental group (P<0.01). According to the expression level of inflammatory factors, low temperature seawater immersion for 24 hours was selected as the best time to establish the model. Immunohistochemical staining and qRT PCR showed that the expression of CIRP in lung tissue increased in the 24 hours group.
      Conclusion  The expression of CIRP in lung tissue and peripheral serum increases with time in the rat model of hypothermic ALI, suggesting that CIRP is closely related to hypothermic ALI. And CIRP is consistent with the levels of inflammatory cytokines IL-1 β and IL-6, so it is speculated that CIRP may play a role in promoting the release of inflammatory cytokines. This study preliminarily confirms the correlation between CIRP in lung tissue region and overall with hypothermic ALI.

     

/

返回文章
返回